In March 2025, Alberta’s Minister of Education and Childcare, Demetrios Nicolaides, signed Ministerial Order #030/2025. On the surface, the Order claims to set “standards” for school library materials. In reality, it is a sweeping censorship framework that gives government direct control over what kids, teachers, and librarians can read in schools. Here’s what it does, and why it’s deeply troubling.


Ministerial Order #030/2025 Explained

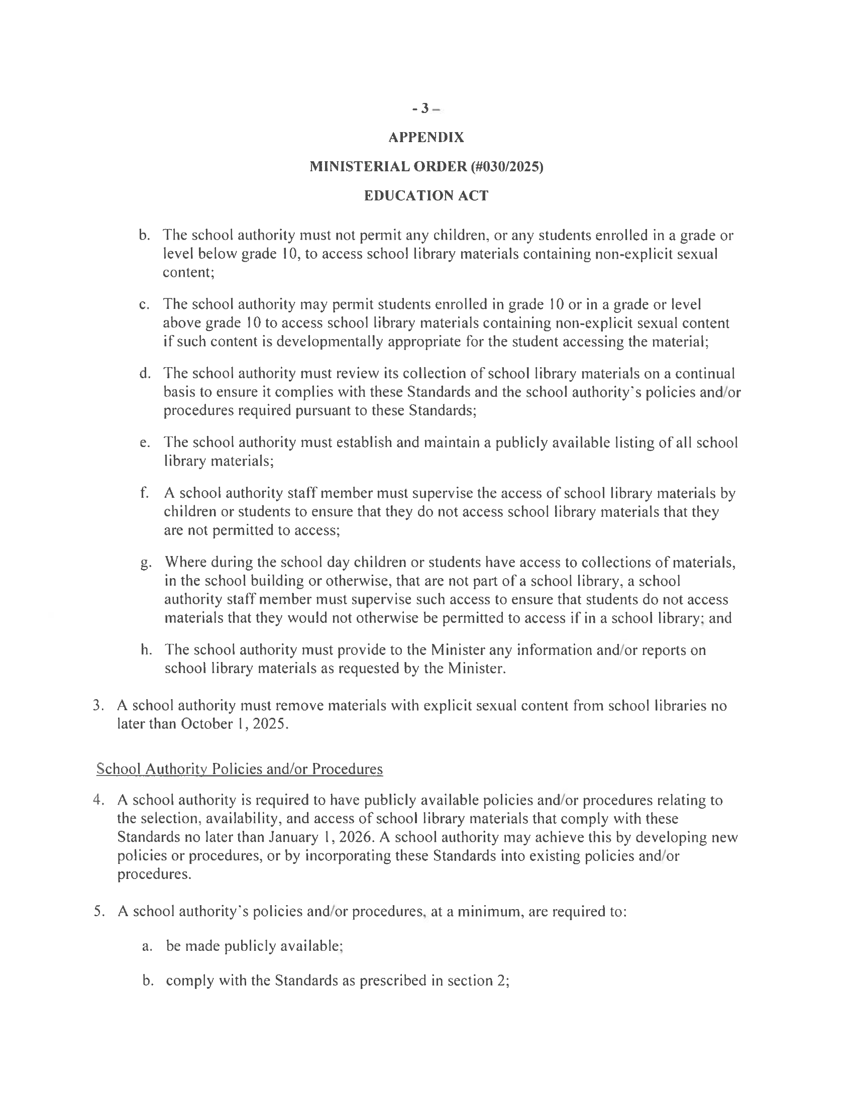
  • Blocks all students below Grade 10 from accessing even “non-explicit” sexual content—covering countless young adult novels that deal with relationships, consent, and identity.

  • Allows Grade 10+ students access only if the Minister deems it “developmentally appropriate.” That’s vague, subjective, and invites uneven enforcement.

  • Forces supervision: staff must oversee student access not only in libraries but also wherever books are present in the building—or “otherwise”.

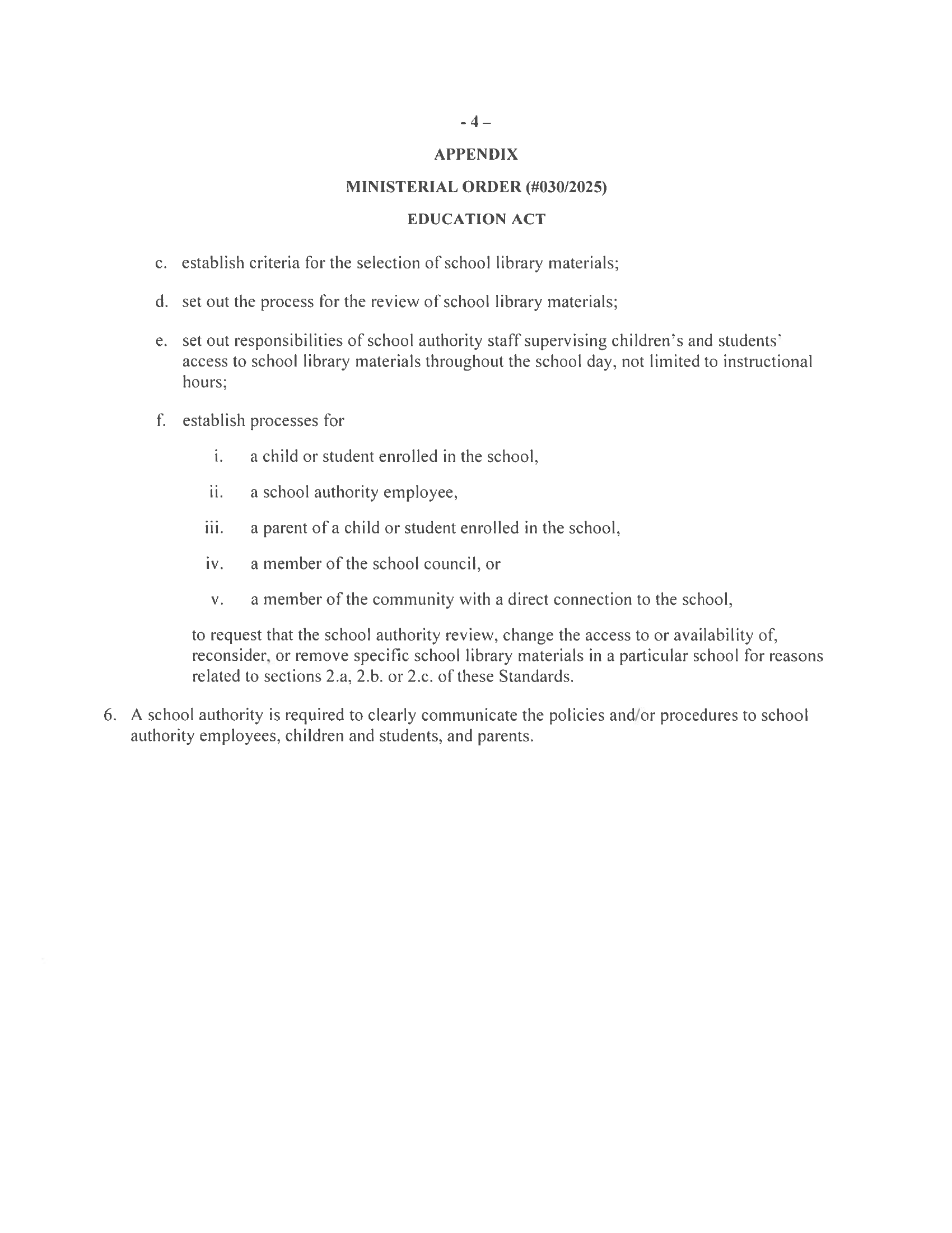
  • Creates a challenge process where parents, far-right groups or even outsiders with a “direct connection” to the school can demand the removal of books.


Why this is Government Overreach


1. Politically-engineered censorship

What’s really happening: This Order is not about “protecting children.” It’s about politicians deciding which stories students are allowed to access. By banning entire categories of books, the government takes control away from teachers, librarians, and parents—the very people who know students best.

  • Instead of supporting critical thinking, the government is dictating thought.

  • It narrows learning opportunities by removing diverse ideas before students even see them.

  • This creates a chilling effect: educators will self-censor, fearing complaints or job risk.


2. Religious exemptions reveal bias

What’s really happening: The Order explicitly exempts religious texts from scrutiny. That means scriptures can depict any subject without restriction, but a novel or memoir covering the same ground could be banned.

  • This is not equal treatment—religion is privileged over literature, history, and lived experience.

  • It elevates one worldview while silencing secular voices, particularly those of marginalized communities.

  • Schools are forced into an impossible position: defend the sanctity of all faiths while removing works that promote inclusivity and empathy.


3. Students lose access to critical voices

What’s really happening: Grades 7–9—formative years when students begin asking serious questions about identity, consent, and relationships—are cut off from nearly all stories that deal with those themes.

  • Young adult (YA) literature is often where teens first see themselves represented. This Order strips that away.

  • LGBTQ2S+ students are disproportionately affected; their stories are most at risk.

  • Survivors of abuse or bullying lose access to narratives that help them process, heal, and find resilience.

  • The result? Silence where there should be support.


4. Dangerous “public inventory”

What’s really happening: Every school must publish a complete list of its library books. On paper, that sounds like “transparency.” In reality, it hands censors a ready-made hit list.

  • Organized campaigns can now target specific titles with mass removal requests.

  • Teachers and librarians could be harassed or doxxed for defending contested books.

  • Instead of safeguarding learning, the Order turns school libraries into political battlegrounds.


5. Impossible supervision rules

What’s really happening: Staff must supervise students not only in libraries, but anywhere in the school—or even beyond—where materials are accessible.

  • Do we expect teachers to monitor every classroom bookshelf, hallway cart, or e-book login? It’s absurd.

  • This “solution” creates an unfunded mandate that no school can realistically meet.

  • The most likely outcome: schools lock down or reduce access altogether, punishing every student.

  • Less access ≠ safety. It means less reading, less freedom, less learning.


6. Open-ended ministerial powers

What’s really happening: The Order gives the Minister authority to demand “any information and/or reports” on school library materials. There are no limits or privacy safeguards.

  • Could this include student borrowing histories? Nothing in the Order prevents it.

  • Centralized reporting gives government the ability to police entire collections in real-time.

  • This is surveillance dressed up as accountability—a direct pipeline from the classroom to the Minister’s desk.

Censorship Disguised as Standards

Download Ministerial Order